PEG的合成挑战与突破 |综述

发布时间:2024-08-12 01:11:00
聚集度指数PDI是描述聚乙二醇(PEG)的分子量分布均匀程度参数。PDI值越接近1.0,表示PEG分子的大小分布越均匀,即聚合物的分散性越低;而PDI值大于1.1通常表示聚合物具有较宽的分子量分布,即聚合物的分散性较高。
 
 

图片

 

1
 
 
聚乙二醇(PEG)的合成
 
 

在PEG的合成和应用中,PDI值是一个重要的考量因素。在开发新的药物输送系统或生物偶联剂时,研究人员会努力通过改进合成方法来控制PDI值,以获得具有理想特性的PEG产品。

 

 

// Diperse PEGs

 

Disperse PEGs又称多分散PEGs,指分子量或链长范围较大的 PEG 分子混合物。通常,这类聚合物的 PDI 值在 1.1 以上,其合成主要依靠开环聚合法。这种技术自 20 世纪 30 年代以来一直在使用,尽管存在各种局限性,但仍是生产 PEO(聚环氧乙烷)的主要技术。阴离子开环聚合合成 PEG 的如下  :

 

  • 第一步包括 PEG 起始剂(通常是单体 PEG 分子)与催化剂(通常是氢氧化钾)的反应。这种 PEG 引发剂被活化,生成烷氧基离子。

  • 第二步包括活化的 PEG 与环氧乙烷(EO)反应,在此过程中,烷氧基离子对环氧化物环进行亲核攻击,从而形成新的醚键。这一过程会重复多次,以形成聚合物链。

  • 第三步终止聚合过程,在此过程中加入淬火剂,如醋酸,使催化剂失活,防止进一步聚合。

图片

方案 1. 用环氧乙烷合成 PEG 的一般化学过程

 

图片

 

// Uniform PEGs

 

Uniform PEGs又称单分散PEGs,其PDI值接近 1。通过开发新的合成方法,现在已经可以生产出具有控制分子量和窄分散度的PEG,这些PEG在多种生物医学应用中展现出巨大潜力。与多分散的PEG相比,这些均匀的单分散PEG显示出改善的溶解性、生物相容性和降低的免疫原性。此外,能够在PEG链上引入功能基团或进行修饰,使得它们作为药物输送载体、成像剂等的使用更加多样化。

 

逐步均匀合成 PEG 有几种不同的途径,包括单向迭代偶联、双向迭代偶联、链倍增和链三增。 在过去的几十年中,一些研究小组开发出了独特的方法来制造均匀的 PEG,如图 2 所示。

 

图片

图 2. 已开发的单分散 PEG 合成方法概览。

 

 

 

2001 年,Zada 等人首次报道了使用苄基对 PEG 进行单保护(方案 2)。以苄基作为保护基团,以 NaH 作为碱进行单保护可提高产量,而使用更复杂的分离和纯化方法可提高最终纯度。

 

图片

方案 2. Zada 等人开发的均匀 PEG 合成途径

2015 年,一种利用基于大环硫酸盐的策略合成单分散 PEG 及其单官能化衍生物的新方法被开发出来(方案 5)。利用 SOCl2 和均一 PEG 进行大环化,生成大环亚硫酸盐,再进一步氧化成大环硫酸盐。然后通过亲核开环反应,将其用作单官能化 PEG 的前体,从而将双官能化的副产物降至最低。

 

图片

方案 5. 使用大环方法合成统一 PEG 的途径a

 

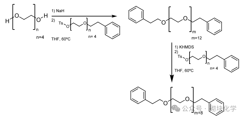
2021 年,Mikesell 等人以更少的步骤合成均匀的单分散 PEG;因此,不再分三步完成 PEG 的伸长,即脱保护、脱质子和偶联,而是分两步完成(如下图)。为此,他们使用了对碱不敏感的保护基(如苯乙基)。使用这种保护基团,就不需要去质子化步骤。 

 

图片

方案 7. Mikesell 等人开发的合成途径

 

// 单保护 PEGs

 

2017 年,Khanal 等人提出了一种利用 Wang 树脂进行 PEG 与溴化苄基单保护的固相技术。该工艺涉及通过洗涤纯化所有中间体,无需色谱即可得到纯净的最终产物(方案 9)。

 

图片

方案 9. PEG 的固相单保护

 

 

2
 
 
PEG 衍生物的合成
 
 

 

// 第一代 PEG 化学

 

将 PEG 链共价连接到蛋白质上的最直接的策略是利用氨基酸,赖氨酸或半胱氨酸侧链中天然存在的亲核物(胺或硫醇基团)。这些问题可通过亲电 PEG 衍生物来解决,但由于蛋白质含有多种亲核物,因此经常需要使用过多的 PEG 化试剂才能实现合理的转化。总之,第一代 PEG 化学末端衍生物可修饰蛋白质中的多个残基,从而形成蛋白质-PEG 共轭物的异质混合物。

 

【氨基PEGs】

 

  • 离去基团法

  •  Mitsunobu反应

  • 磺酸衍生物,然后还原为氨基末端基团

图片

方案 10. 带有氨基末端基团的 PEG 衍生物的制备步骤

 

【二氯三嗪PEGs】

PEG 二氯三嗪衍生物可与许多亲核官能团(如赖氨酸、丝氨酸、酪氨酸、半胱氨酸和组氨酸)发生反应。这种反应会移除其中一个氯化物并生成共轭物,留下一个反应性较低的氯化物,该氯化物不易与亲核残基发生进一步反应。在无水 THF 中使用 N-甲基吗啉(NMM)与氯化三聚氰(TCT)和 PEG 经过 3 小时的反应。

图片

方案 11. PEG 二氯三嗪的合成

 

【三甲酸酯PEGs】

PEG 甲苯磺酸酯对氨基有足够的反应活性(比甲苯磺酸酯更有反应活性),因此被认为是有用的蛋白质修饰试剂。合成途径包括在室温下,在二甲基亚砜(DMSO)中用吡啶使甲酰氯和 PEG 发生反应。

图片

方案 12. PEG 甲苯磺酸酯的合成

 

虽然通过所述方法生产的聚乙二醇化蛋白质药物是以生物活性降低的蛋白质混合物的形式给药,但与非聚乙二醇化药物相比,它们的半衰期延长,药效显著提高。因此,几种 PEG 化蛋白质药物已获得 FDA 批准。不过,第一代工艺也有缺点,如存在异构体混合物、二元醇污染、键不稳定以及某些生物大分子的生物活性发生变化等。

 

// 第二代 PEG 化学

 

第二代 PEG 化合化学的设计避免了二元醇污染、仅限于低分子量 mPEG、连接不稳定、副反应和缺乏取代选择性等问题。

 

【醛PEGs】

mPEG 丙醛或 PEG-醛(方案 15)是第二代化学的首批实例之一,由于α-胺的 pKa 值比其他亲核物低,因此它们对 N 端的α-胺具有很强的选择性。 

  • PEG-醛合成第一种方法是通过加热溶解在二甲基亚砜中的醋酸酐溶液中的 PEG 来实现氧化反应。

  • 第二种方法是在 PEG 和叔丁醇钾在甲苯中的溶液中加入溴乙醛缩二乙醇,生成 PEG-乙醛中间体,然后用盐酸处理,通过酸水解得到醛衍生物。

    图片

方案 15. PEG 醛的合成途径

 

【羧酸PEGs】

在蛋白质的 PEG 化过程中,最常用的是赖氨酸、半胱氨酸、组氨酸、精氨酸、天冬氨酸、谷氨酸、丝氨酸、苏氨酸、酪氨酸和ε氨基与 PEG 共轭。要与赖氨酸残基共轭,最常用的是以羧酸为末端的 PEG。合成过程包括 PEG 与催化量的 2,2,6,6-四甲基-1-哌啶氧基(TEMPO)和作为再生氧化剂的 KBr 在水中的反应。

 

图片

方案 16. PEG 羧酸的合成

 

【叠氮PEGs】

叠氮封端的 PEG 也可用于生物共轭物的 PEG 化。其合成包括两个步骤: 

  • mPEG 与甲酰氯和三乙醇胺发生甲酰化反应,得到 mPEG-Ms

  • 然后与过量叠氮化钠反应,得到叠氮封端的PEG

    图片

 

总之,PEG 化已成为创造创新药物制剂的重要策略,并已成功帮助众多 PEG 化药物进入市场。随着研究和开发的不断深入,预计未来 PEG 化技术将不断进步,并将创造出更强效的 PEG 化物质。

 

3
 
 
PEG应用
 
 

 

// 给药---PEGylation

 

药物应用中最为广泛的一项技术是PEGylation,作为一种提高药物疗效的流行技术。PEG被认为是实现这一目的的理想候选材料,因为它可以通过引入不同的功能基团进行化学修饰,从而便于将PEG链与小分子药物、肽和核酸等治疗剂进行共价或非共价连接,优化药物的药代动力学和药效学,通过提高稳定性、减少非特异性蛋白吸收和巨噬细胞摄取,以及通过其“隐形效应”延长循环时间。FDA批准的药品主要包含分散PEG(见下表)。

 

图片图片